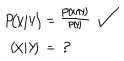
[9 / 3 / ?] 18KiB, 1234x300, Screen Shot 2015-10-30 at 12.15.32 PM.png View SameGoogleImgOpsiqdbSauceNAO deaner Fri 30 Oct 2015 14:16:18 No.7626308 ViewReplyReportDelete Quoted By: >>7626311 >>7626337 Is there a way to explicitly write a "conditional", ie, we know the explicit representation of P(X|Y), and E(X|Y), etc,... But how do we write just plain X|Y ? Subject Name E-mail Password